Bojātais kabelis

Stāsts
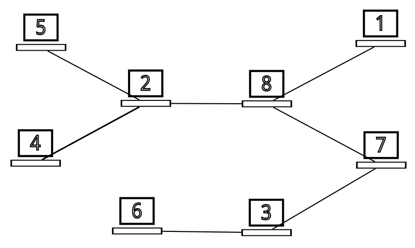
Kādā datorfirmā datori ir saslēgti vienotā tīklā tā, ka katru divu datoru pāris ir vai nu tieši savienots ar kabeli, vai arī eksistē unikāla secīgu datoru virkne no viena datora līdz otram, kur katrus divus blakus datorus savieno kabelis. Datori tīklā ir sanumurēti ar naturāliem skaitļiem no līdz pēc kārtas.
Viena šāda datortīkla piemērs parādīts 1. attēlā.

Meistars Matīss ir pamanījis, ka datortīkls vairs nedarbojas kā nākas, un pēc viņa ilggadējās iepriekšējās pieredzes ir skaidrs, ka vainīgs ir kāds no sistēmā esošajiem kabeļiem.
Meistara rīcībā ir līdzekļi, kas ļauj pieslēgties jebkuriem diviem datoriem un noteikt, vai starp tos savienojošiem kabeļiem kāds nav bojāts.
Uzrakstiet datorprogrammu, kas organizē šādu pieslēgšanos virkni ar mērķi atrast bojāto kabeli.
Komunikācija
Šis ir interaktīvs uzdevums. Jūsu programmai, sākot darbu, pirmajā ievaddatu rindā dots naturāls skaitlis () - datoru skaits datortīklā. Nākamajās ievaddatu rindās katrā dots viena tieši ar kabeli savienota datoru pāra apraksts - savienoto datoru numuri, kas atdalīti ar tukšumzīmi.
Bojātā kabeļa atrašanās vietu vērtēšanas sistēma tur slepenībā.
Tad jūsu programma var veikt vaicājumus, tos rakstot izvadā šādā formātā: , kur un ir divu datoru numuri - atšķirīgi naturāli skaitļi ().
Vērtēšanas sistēma uz vaicājumu izdod atbildi nākamajā ievaddatu rindā. Atbilde ir vesels skaitlis - , ja kabeļu virknē no līdz kāds no kabeļiem ir bojāts, vai , ja neviens no kabeļiem šajā virknē nav bojāts.
Jūsu programma katrā testā var veikt ne vairāk kā vaicājumus.
Kad bojātā kabeļa atrašanās vieta noteikta, programmai jāizvada (), kur un ir bojātā kabeļa galos esošo datoru numuri, un darbība jābeidz. Vērtēšanas sistēma neatbildēs uz šo izvadu un nepieņems sekojošus vaicājumus.
Raksturojot kabeli, galapunktu secībai nav nozīmes. Visos testos būs tieši viens bojātais kabelis.
Piemērs
| Ievaddati | Izvaddati (jūsu programmas vaicājumi) | Komentāri |
|---|---|---|
| | Atbilst tekstā dotajam attēlam. |
| | |
| | |
| | |
| | |
| | Bojātais kabelis var būt vienīgi starp un . |
Izpildes resursu ierobežojumi
Apakšuzdevumi un to vērtēšana
| # | Apakšuzdevuma apraksts | Punkti |
|---|---|---|
| 1. | Tikai divi datori: . | 1 |
| 2. | . | 9 |
| 3. | Katrs dators ir savienots ar ne vairāk kā diviem citiem datoriem. | 20 |
| 4. | . | 70 |
Piezīmes
Lai garantētu, ka jūsu programmas "vaicājumus" saņem vērtēšanas sistēma, jums ir "jāsinhronizē" ( flush ) izvaddatu plūsma ( stdout ) pēc katra vaicājuma.
| Valoda | Piemērs |
|---|---|
C++ |
|
Go |
|
Java |
|
Pascal |
|
Python |
|
Ja testa ietvaros tiks pārsniegts maksimāli atļautais vaicājumu skaits, tā statuss pēc testēšanas būs "Nepareiza atbilde".
Bojātais kabelis

Stāsts
Kādā datorfirmā datori ir saslēgti vienotā tīklā tā, ka katru divu datoru pāris ir vai nu tieši savienots ar kabeli, vai arī eksistē unikāla secīgu datoru virkne no viena datora līdz otram, kur katrus divus blakus datorus savieno kabelis. Datori tīklā ir sanumurēti ar naturāliem skaitļiem no līdz pēc kārtas.
Viena šāda datortīkla piemērs parādīts 1. attēlā.

Meistars Matīss ir pamanījis, ka datortīkls vairs nedarbojas kā nākas, un pēc viņa ilggadējās iepriekšējās pieredzes ir skaidrs, ka vainīgs ir kāds no sistēmā esošajiem kabeļiem.
Meistara rīcībā ir līdzekļi, kas ļauj pieslēgties jebkuriem diviem datoriem un noteikt, vai starp tos savienojošiem kabeļiem kāds nav bojāts.
Uzrakstiet datorprogrammu, kas organizē šādu pieslēgšanos virkni ar mērķi atrast bojāto kabeli.
Komunikācija
Šis ir interaktīvs uzdevums. Jūsu programmai, sākot darbu, pirmajā ievaddatu rindā dots naturāls skaitlis () - datoru skaits datortīklā. Nākamajās ievaddatu rindās katrā dots viena tieši ar kabeli savienota datoru pāra apraksts - savienoto datoru numuri, kas atdalīti ar tukšumzīmi.
Bojātā kabeļa atrašanās vietu vērtēšanas sistēma tur slepenībā.
Tad jūsu programma var veikt vaicājumus, tos rakstot izvadā šādā formātā: , kur un ir divu datoru numuri - atšķirīgi naturāli skaitļi ().
Vērtēšanas sistēma uz vaicājumu izdod atbildi nākamajā ievaddatu rindā. Atbilde ir vesels skaitlis - , ja kabeļu virknē no līdz kāds no kabeļiem ir bojāts, vai , ja neviens no kabeļiem šajā virknē nav bojāts.
Jūsu programma katrā testā var veikt ne vairāk kā vaicājumus.
Kad bojātā kabeļa atrašanās vieta noteikta, programmai jāizvada (), kur un ir bojātā kabeļa galos esošo datoru numuri, un darbība jābeidz. Vērtēšanas sistēma neatbildēs uz šo izvadu un nepieņems sekojošus vaicājumus.
Raksturojot kabeli, galapunktu secībai nav nozīmes. Visos testos būs tieši viens bojātais kabelis.
Piemērs
| Ievaddati | Izvaddati (jūsu programmas vaicājumi) | Komentāri |
|---|---|---|
| | Atbilst tekstā dotajam attēlam. |
| | |
| | |
| | |
| | |
| | Bojātais kabelis var būt vienīgi starp un . |
Izpildes resursu ierobežojumi
Apakšuzdevumi un to vērtēšana
| # | Apakšuzdevuma apraksts | Punkti |
|---|---|---|
| 1. | Tikai divi datori: . | 1 |
| 2. | . | 9 |
| 3. | Katrs dators ir savienots ar ne vairāk kā diviem citiem datoriem. | 20 |
| 4. | . | 70 |
Piezīmes
Lai garantētu, ka jūsu programmas "vaicājumus" saņem vērtēšanas sistēma, jums ir "jāsinhronizē" ( flush ) izvaddatu plūsma ( stdout ) pēc katra vaicājuma.
| Valoda | Piemērs |
|---|---|
C++ |
|
Go |
|
Java |
|
Pascal |
|
Python |
|
Ja testa ietvaros tiks pārsniegts maksimāli atļautais vaicājumu skaits, tā statuss pēc testēšanas būs "Nepareiza atbilde".